Категории каталога
Каталог / Это интересно / Сложно о простом / Рекорд с чистого листа: бумага сдаётся 12 раз

Рекорд с чистого листа: бумага сдаётся 12 раз

Разумеется, мы говорим о бумаге реальной, имеющей конечную, а не нулевую, толщину. Если складывать её аккуратно и до конца, исключая разрывы (это очень важно), то "отказ" складываться вдвое обнаруживается, обычно, уже после шестого раза. Реже – седьмого. Попробуйте проделать это с листком из тетради.

И, как ни странно, от размеров листа и его толщины ограничение мало зависит. То есть, просто так взять тонкий лист побольше, да и сложить его вдвое, раз допустим 30 или хотя бы 15 – не получается, как ни бейся.

В популярных подборках, типа "А знаете ли вы что…" или "Удивительное рядом", факт сей — что вот больше именно 8 раз сложить бумагу нельзя — до сих пор можно найти очень во многих местах, в Сети и вне. Но факт ли это?

Давайте рассуждать. Каждое сложение удваивает толщину кипы. Если толщину бумаги принять равной 0,1 миллиметра (размер листа мы сейчас не рассматриваем), то сложение её вдвое "всего" 51 раз даст толщину сложенной пачки в 226 миллионов километров. Что уже очевидный абсурд.

Мировая рекордсменка Бритни Гэлливан и бумажная лента, сложенная вдвое (в одном направлении) 11 раз (фото с сайта mathworld.wolfram.com).

Мировая рекордсменка Бритни Гэлливан и бумажная лента, сложенная вдвое (в одном направлении) 11 раз (фото с сайта mathworld.wolfram.com).
Кажется, тут-то мы начинаем понимать, откуда берётся известное многим ограничение на 7 или 8 раз (ещё раз – бумага у нас реальная, она не тянется до бесконечности и не рвётся, а порвётся – это уже не складывание). И всё же…

В 2001 году одна американская школьница решила вплотную заняться проблемой двойного складывания, а получилось из этого целое научное исследование, да ещё и мировой рекорд.

Собственно, началось всё с вызова, брошенного педагогом ученикам: "А вот попробуйте сложить хоть что-нибудь пополам 12 раз!". Мол, убедитесь, что это из разряда совершенно невозможного.

Бритни Гэлливан (Britney Gallivan) (заметим, сейчас она уже студентка) поначалу отреагировала как Алиса Льюиса Кэрролла: "Бесполезно и пробовать". Но ведь говорила Алисе Королева: "Осмелюсь сказать, что у вас не было большой практики".

Вот Гэлливан и занялась практикой. Порядком намучившись с разными предметами, она сложила-таки лист золотой фольги вдвое 12 раз, чем посрамила своего преподавателя.

Пример складывания листа вдвое четыре раза. Пунктир – предыдущее положение трёхкратного сложения. Буквы показывают, что точки на поверхности листа смещаются (то есть, листы скользят друг относительно друга), и занимают в результате не то положение, как может показаться при беглом взгляде (иллюстрация с сайта pomonahistorical.org).

Пример складывания листа вдвое четыре раза. Пунктир – предыдущее положение трёхкратного сложения. Буквы показывают, что точки на поверхности листа смещаются (то есть, листы скользят друг относительно друга), и занимают в результате не то положение, как может показаться при беглом взгляде (иллюстрация с сайта pomonahistorical.org).
На этом девушка не успокоилась. В декабре 2001 года она создала математическую теорию (ну, или математическое обоснование) процесса двойного складывания, а в январе 2002 года проделала 12-кратное складывание пополам с бумагой, используя ряд правил и несколько направлений складывания (для любителей математики, несколько подробнее — тут).

Бритни заметила, что к этой проблеме ранее уже обращались математики, но правильного и проверенного практикой решения задачи ещё никто не предоставлял.

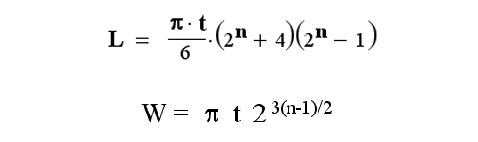
Гэлливан стала первым человеком, который правильно понял и обосновал причину ограничений на сложение. Она изучила накапливающиеся при складывании реального листа эффекты и "потерю" бумаги (да и любого иного материала) на сам сгиб. Она получила уравнения для предела складывания, для любых исходных параметров листа. Вот они.

Первое уравнение относится к складыванию полосы только в одном направлении. L — минимально возможная длина материала, t – толщина листа, и n — число выполненных сгибов в два раза. Разумеется, L и t должны быть выражены в одних и тех же единицах.
Гэлливан и её рекорд (фото с сайта pomonahistorical.org).

Гэлливан и её рекорд (фото с сайта pomonahistorical.org).
Во втором уравнении речь идёт о складывании в различных, переменных, направлениях (но всё равно – вдвое каждый раз). Здесь W – ширина квадратного листа. Точное уравнение для складывания в "альтернативных" направлениях – более сложное, но здесь приводится форма, дающая очень близкий к реальности результат.

Для бумаги, которая не является квадратом, вышеупомянутое уравнение всё ещё даёт весьма точный предел. Если бумага, скажем, имеет пропорции 2 к 1 (по длине и ширине), легко сообразить, что нужно сложить её один раз и "привести" к квадрату двойной толщины, а затем воспользоваться вышеупомянутой формулой, мысленно держа в уме одно лишнее складывание.

В своей работе школьница определила строгие правила двойного сложения. Например, у листа, который свёрнут n раз, 2n уникальных слоёв обязаны лежать подряд на одной линии. Секции листа, не удовлетворяющие этому критерию, не могут считаться как часть свёрнутой пачки.

Так вот Бритни и стала первым в мире человеком, сложившим лист бумаги вдвое 9, 10, 11 и 12 раз. Можно сказать, не без помощи математики.

Материал предоставлен: membrana

Реклама:
Где заказать рерайтинг текстов узнай на сайте eTXT.ru