Категории каталога
Каталог / Интернет / Раскрутка сайтов / Работа с ключевыми словами

Работа с ключевыми словами

Согласно теории, предложенной Бреттом Табке (основатель и модератор форума WebmasterWorld.com), все странички сайта можно представить в виде пирамиды. На ее вершине находится главная, или начальная страница, далее по порядку - разделы, подразделы, страницы более низкого уровня. Соответственно, начальную страницу необходимо оптимизировать под общие слова и фразы, в то время как документы более низкого уровня - под конкретные запросы.

Теория пирамиды

Рассмотрим на примере сайта об автомобилях. Главная страница - вершина пирамиды - оптимизируется под самый общий запрос "автомобили". Конечно, это не означает, что сайт по данному запросу займет высокие позиции. Из-за высокой конкуренции по общим запросам поднять сайт в выдаче - задача очень сложная. Тем не менее, начальная страница укажет поисковой машине на общую тематику ресурса.
Разделы сайта оптимизируются под более конкретные разделы, например, "легковые автомобили". Подразделы или страницы третьего уровня - под запросы, описывающие конкретный товар: "подержанные легковые автомобили". И, наконец, для страниц четвертого уровня выбираются наиболее конкретные фразы типа "подержанный автомобиль toyota 2002 года выпуска". Как правило, по таким запросам конкуренция очень низкая либо отсутствует вообще. Тем не менее, именно такие запросы могут дать реальных клиентов. Более того, добиться высоких позиций по конкретным запросам можно только с помощью оптимизации сайта, практически без внешних ссылок на страницу.

По теории пирамиды, поисковая машина воспринимает сайт как единое целое, как одну страницу. Но это не означает, что все страницы ресурса следует оптимизировать под одни и те же ключевые фразы. К сожалению, данную ошибку часто совершают начинающие оптимизаторы. Для каждой страницы необходимо разработать уникальный набор ключевых фраз. Давайте разберемся, почему.

Получая запрос, поисковая машина анализирует его, определяет тематику и выделяет список страниц, релевантных данной фразе. После этого выбираются наиболее релевантные документы, которые в итоге и выводятся на первых позициях. То есть в результатах поиска отображаются ссылки не на сайты, а на конкретные страницы. Поэтому важно каждую страницу сайта оптимизировать под разные запросы. Тем самым вы можете охватить намного больше ключевых слов и фраз и получить больше целевых посетителей. Важно прописывать на каждой странице уникальные meta-теги. В противном случае, если в разделах keywords и description находятся одни и те же наиболее популярные фразы, поисковая машина может либо игнорировать meta-теги, либо заподозрить ресурс в поисковом спаме.


Заметки на полях

Стремление искусственно повысить индекс цитируемости ресурса также может привести к обвинению в поисковом спаме. Но только в том случае, если вы ведете беспорядочный обмен ссылками, без учета тематики партнерских сайтов. Негативно относятся поисковые машины к созданию нетематических каталогов. Например, если в каталоге сайта об автомобилях находятся ссылки на ресурсы о промышленных двигателях или кондиционерах, то такой обмен сложно назвать тематическим.

Обмен ссылками с близкими по тематике ресурсами не считается попыткой накрутить индекс цитируемости. За тематический обмен поисковые системы не наказывают. Соответственно, создание тематического каталога на сайте тоже не будет нарушением.

Для повышения цитируемости эффективно регистрировать сайт в каталоге Яндекса, DMOZ, Yahoo, а также тематических каталогах. Например, занесение ресурса в каталог Яндекса повышает его тематический индекс цитируемости, DMOZ влияет на величину показателя Page Rank. Наличие сайта в каталоге Yahoo положительно влияет на индексацию сайта поисковым роботом этой системы.


Частотный вопрос

Как составить список ключевых слов? Понятно, что ключевые фразы должны быть связаны с тематикой сайта. Например, если речь идет об интернет-магазине бытовой техники, имеет смысл выбирать все запросы, более-менее связанные с этим направлением. К примеру, "холодильники", "газовые плиты", "кофеварки" и т.д. А также названия конкретных моделей. Другой вопрос - как определить популярность запроса? Говоря другими словами, сколько раз его задают в поисковой системе за определенный промежуток времени - месяц, квартал, год?
По идее одни и те же запросы задаются в поисковых системах определенное количество раз. Есть очень популярные запросы, например "автомобили". Его могут вводить десятки тысяч раз в месяц. Есть менее популярные, как "легковой автомобиль toyota 2002 года выпуска". Но и его могут задавать 10-20 раз в месяц, может быть, меньше или больше. Как определить, какие запросы чаще всего вводят пользователи? Ведь один и тот же товар или услугу можно описать различными словами. Люди, желающие купить поддержанный автомобиль, могут ввести в качестве запроса фразы "подержанный автомобиль", "подержанная машина", "подержанный авто". Суть того, что они ищут, одинакова в любом случае. Но вот запросы разные. И какие выбрать в качестве ключевых?

Существуют множество способов подбора ключевых фраз. Например, метод мозгового штурма. Грубо говоря, подбор ключевых фраз "на глазок". Понятно, что тот же запрос "автомобили" люди задают чаще, чем "подержанный автомобиль в кредит". Но все-таки метод мозгового штурма имеет множество недостатков. Его результаты сильно зависят от участников мозгового штурма и могут быть совершенно не связаны с реальностью.

К счастью, сегодня работает достаточно сервисов, которые позволяют посмотреть статистику поисковых запросов. В Рунете можно выделить Яндекс.Директ, Рамблер Adstat, Бегун. В западном сегменте интернета аналогичные функции выполняют Overture (www.inventory.overture.com), а также различные Pay-per-click системы (7Search, Miva, NicheBot). Но важно учитывать, что некоторые из перечисленных систем ориентированы на работу с поисковой рекламой. И поэтому они выводят не количество запросов, а число показов поисковой рекламы по этим словам. Тем не менее, даже в этом случае есть возможность оценить общую картину по запросам и выделить наиболее популярные.

Для повышения эффективности работы можно использовать специальные программы, например Page Promoter, который умеет работать с несколькими службами подбора ключевых слов, а также рассчитывать рейтинг отдельных фраз.


Используем Page Promoter

В программе Page Promoter предусмотрен специальный модуль для подбора ключевых фраз. С его помощью можно значительно повысить эффективность выбора ключевиков и ускорить сам процесс. Программа умеет работать со всеми популярными сервисами статистики, например, российским Яндекс.Директ и западным Overture. Давайте подробнее рассмотрим возможности Page Promoter.

В модуле имеются три опции подбора ключевых слов:

Статистика ключевых слов. Позволяет получить списки слов, релевантных заданному. Статистика запросов формируется на основе данных различных служб, в том числе Яндекс.Директ, Бегун, WordTracker, Overture и ряда других. Подбирать слова можно как для нового, так и существующего сайта. Кроме вывода статистики, программа рассчитывает рейтинг слова. На этом остановимся подробнее чуть ниже.

Подбор релевантных ключевых слов. Позволяет получить списки слов, которые задаются в поисковых системах вместе с указанным словом.

Собиратель слов. Очень интересная опция. Позволяет проанализировать сайты конкурентов и получить списки ключевых слов, над которыми они работают. Работа алгоритма построена следующим образом. Анализируются результаты выдачи по конкретному запросу. Далее программа выбирает первые десять сайтов в выдаче и просматривает meta-теги на их страницах с целью найти ключевые слова. В итоге формируется список фраз, по которым работают конкуренты.

Также в программе имеется отдельная секция - статистика запросов. В ней содержатся ссылки на страницы с информацией о самых популярных на данный момент запросах: Яндекс.Реклама, Рамблер реклама, Google Zeitgeist, Lycos Weekly Top 50, Yahoo Buzz Index и других.

Отдельного внимания заслуживает рейтинг слова, который рассчитывается программой Page Promoter по специальной формуле. Данный параметр позволяет оценить эффективность продвижения сайта по конкретному запросу. Соответственно, чем выше рейтинг, тем больше данная фраза подходит для вашего сайта.

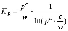
Формула для расчета рейтинга слова:

где:
KR - рейтинг ключевого слова;
р - популярность слова (количество запросов);
w - точное совпадение фразы. Это количество результатов, возвращенных Google на точный запрос по введенному слову или фразе. При поиске в Google запрос можно задать в кавычках (тогда поиск ведется по точному совпадению) и без кавычек. Соответственно, результаты в обоих случаях будут отличаться. Поэтому данный фактор учитывается в формуле. Необходимо отметить, что некоторые системы, например, Overture выводят фразы, слова в которых отсортированы в алфавитном порядке. Например, фраза "software development" отображается как "development software". В этом случае при подсчете рейтинга возникает погрешность. Но она появляется только при работе с Overture.
с - неточное совпадение - то количество результатов, возвращенных Google по запросу фразы в том виде, в каком она была введена пользователем.
O - факторы w и c обратно пропорциональны рейтингу слова (KR).
- эмпирический коэффициент, полученный специалистами компании NetPromoter, где 1 < < 3; = 1 обозначает слово высокой значимости, а =3 - слово низкой значимости.

Page Promoter позволяет максимально автоматизировать процесс подбора ключевых слов. И отобрать действительно полезные ключевики, продвижение по которым принесет максимальный эффект и отдачу.


Материал предоставлен: www.seonews.ru
Автор: Николай Евдокимов и Сергей Баиров

Реклама:
Где заказать рерайтинг текстов узнай на сайте eTXT.ru